Fitness Test Questions . Web here are some fitness tests for evaluating overall progress toward physical fitness and health goals for certain healthy populations, especially. Web a fitness test, also known as a fitness assessment, comprises a series of exercises that help evaluate your overall health and physical status. Web fitness questions for your custom printable tests and worksheets. Web a basic fitness test includes exercises designed to test muscular strength as well as cardiovascular fitness. The exact exercises used to. Web here is the complete listing of all fitness tests in the topend sports database, listed in alphabetical order with also the top 10 most.
from brainly.ph
Web a fitness test, also known as a fitness assessment, comprises a series of exercises that help evaluate your overall health and physical status. Web a basic fitness test includes exercises designed to test muscular strength as well as cardiovascular fitness. Web here are some fitness tests for evaluating overall progress toward physical fitness and health goals for certain healthy populations, especially. Web here is the complete listing of all fitness tests in the topend sports database, listed in alphabetical order with also the top 10 most. Web fitness questions for your custom printable tests and worksheets. The exact exercises used to.
physical fitness test score card with answer Brainly.ph
Fitness Test Questions Web here are some fitness tests for evaluating overall progress toward physical fitness and health goals for certain healthy populations, especially. Web a basic fitness test includes exercises designed to test muscular strength as well as cardiovascular fitness. The exact exercises used to. Web here is the complete listing of all fitness tests in the topend sports database, listed in alphabetical order with also the top 10 most. Web here are some fitness tests for evaluating overall progress toward physical fitness and health goals for certain healthy populations, especially. Web a fitness test, also known as a fitness assessment, comprises a series of exercises that help evaluate your overall health and physical status. Web fitness questions for your custom printable tests and worksheets.
From www.signnow.com
Parental Fitness Evaluation Template Complete with ease airSlate SignNow Fitness Test Questions Web a fitness test, also known as a fitness assessment, comprises a series of exercises that help evaluate your overall health and physical status. Web here are some fitness tests for evaluating overall progress toward physical fitness and health goals for certain healthy populations, especially. Web fitness questions for your custom printable tests and worksheets. The exact exercises used to.. Fitness Test Questions.
From www.pinterest.com
Pin on fitness Fitness Test Questions Web a fitness test, also known as a fitness assessment, comprises a series of exercises that help evaluate your overall health and physical status. Web fitness questions for your custom printable tests and worksheets. The exact exercises used to. Web a basic fitness test includes exercises designed to test muscular strength as well as cardiovascular fitness. Web here are some. Fitness Test Questions.
From www.pinterest.co.uk
The Physical Activity Readiness Questionnaire Par Q Health history Fitness Test Questions Web fitness questions for your custom printable tests and worksheets. Web a fitness test, also known as a fitness assessment, comprises a series of exercises that help evaluate your overall health and physical status. The exact exercises used to. Web here is the complete listing of all fitness tests in the topend sports database, listed in alphabetical order with also. Fitness Test Questions.
From hashimashi.com
Physical Activity Readiness Questionnaire Find Out Now if You Can Fitness Test Questions Web a fitness test, also known as a fitness assessment, comprises a series of exercises that help evaluate your overall health and physical status. Web a basic fitness test includes exercises designed to test muscular strength as well as cardiovascular fitness. The exact exercises used to. Web here are some fitness tests for evaluating overall progress toward physical fitness and. Fitness Test Questions.
From www.templateroller.com
PhysicalFitness Assessment Results Form American Council on Exercise Fitness Test Questions Web here is the complete listing of all fitness tests in the topend sports database, listed in alphabetical order with also the top 10 most. Web fitness questions for your custom printable tests and worksheets. Web here are some fitness tests for evaluating overall progress toward physical fitness and health goals for certain healthy populations, especially. Web a fitness test,. Fitness Test Questions.
From www.slideshare.net
Quiz on administration of physical fitness test Fitness Test Questions Web here is the complete listing of all fitness tests in the topend sports database, listed in alphabetical order with also the top 10 most. Web here are some fitness tests for evaluating overall progress toward physical fitness and health goals for certain healthy populations, especially. The exact exercises used to. Web a fitness test, also known as a fitness. Fitness Test Questions.
From www.examples.com
Fitness Survey 10+ Examples, Format, Pdf Fitness Test Questions Web here are some fitness tests for evaluating overall progress toward physical fitness and health goals for certain healthy populations, especially. Web a basic fitness test includes exercises designed to test muscular strength as well as cardiovascular fitness. Web here is the complete listing of all fitness tests in the topend sports database, listed in alphabetical order with also the. Fitness Test Questions.
From tickledwithink.blogspot.com
Self Testing Activities For Skill Related Fitness Frontiers Measuring Fitness Test Questions Web a fitness test, also known as a fitness assessment, comprises a series of exercises that help evaluate your overall health and physical status. Web a basic fitness test includes exercises designed to test muscular strength as well as cardiovascular fitness. Web fitness questions for your custom printable tests and worksheets. Web here is the complete listing of all fitness. Fitness Test Questions.
From www.slideshare.net
Physical Education Physical Fitness Pre & Post Test / Circuit Traini… Fitness Test Questions Web fitness questions for your custom printable tests and worksheets. Web here are some fitness tests for evaluating overall progress toward physical fitness and health goals for certain healthy populations, especially. The exact exercises used to. Web a fitness test, also known as a fitness assessment, comprises a series of exercises that help evaluate your overall health and physical status.. Fitness Test Questions.
From www.researchgate.net
Physical fitness test results arranged by gender. Download Table Fitness Test Questions Web a fitness test, also known as a fitness assessment, comprises a series of exercises that help evaluate your overall health and physical status. Web here are some fitness tests for evaluating overall progress toward physical fitness and health goals for certain healthy populations, especially. The exact exercises used to. Web a basic fitness test includes exercises designed to test. Fitness Test Questions.
From blog.extremefitnessresults.com
Insanity Fit Test Complete Review & PDF Download Fitness Test Questions Web fitness questions for your custom printable tests and worksheets. Web a fitness test, also known as a fitness assessment, comprises a series of exercises that help evaluate your overall health and physical status. Web here is the complete listing of all fitness tests in the topend sports database, listed in alphabetical order with also the top 10 most. The. Fitness Test Questions.
From blog.nasm.org
Sports Performance Testing and Evaluation The Whole Team Approach Fitness Test Questions The exact exercises used to. Web here are some fitness tests for evaluating overall progress toward physical fitness and health goals for certain healthy populations, especially. Web here is the complete listing of all fitness tests in the topend sports database, listed in alphabetical order with also the top 10 most. Web a fitness test, also known as a fitness. Fitness Test Questions.
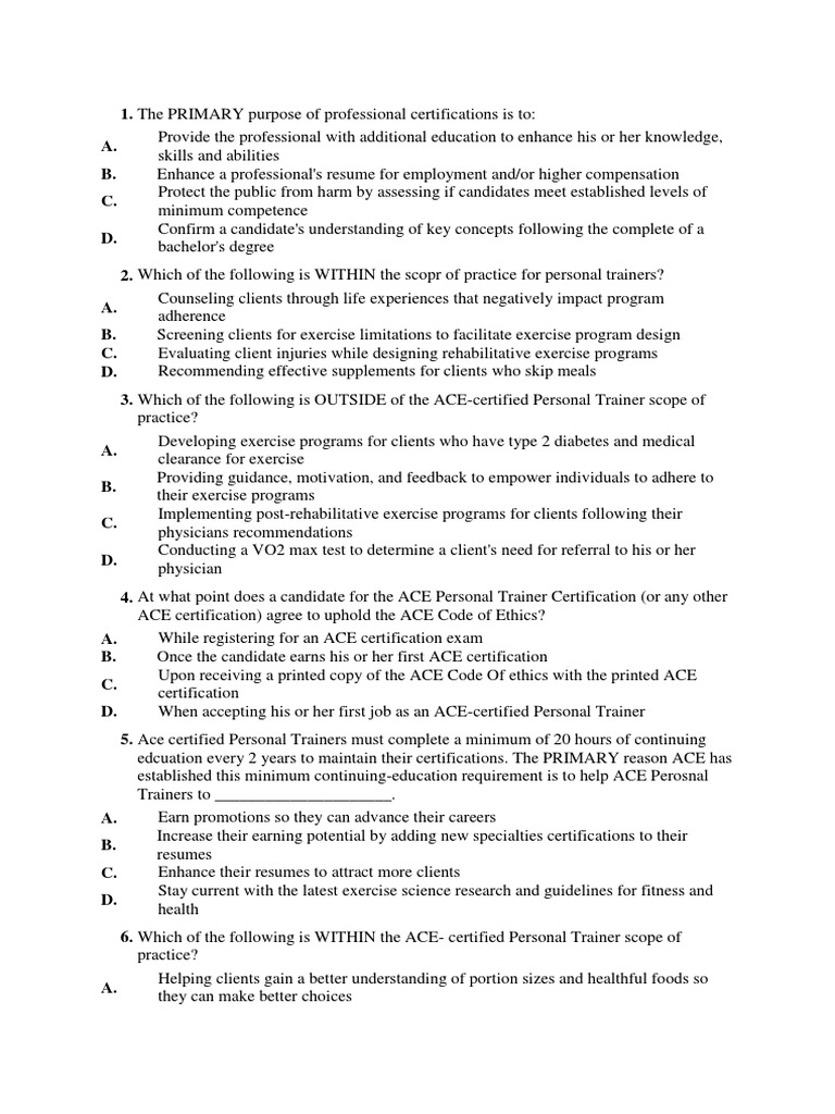
From www.scribd.com
Ace Practice Test PDF Personal Trainer Physical Exercise Fitness Test Questions The exact exercises used to. Web here is the complete listing of all fitness tests in the topend sports database, listed in alphabetical order with also the top 10 most. Web here are some fitness tests for evaluating overall progress toward physical fitness and health goals for certain healthy populations, especially. Web a basic fitness test includes exercises designed to. Fitness Test Questions.
From exrx.net
Fitness Assessment Form Fitness Test Questions Web a basic fitness test includes exercises designed to test muscular strength as well as cardiovascular fitness. The exact exercises used to. Web here is the complete listing of all fitness tests in the topend sports database, listed in alphabetical order with also the top 10 most. Web a fitness test, also known as a fitness assessment, comprises a series. Fitness Test Questions.
From www.studocu.com
Grade 9 Activity Sep 29 2022 The Physical Fitness Test The Physical Fitness Test Questions The exact exercises used to. Web a basic fitness test includes exercises designed to test muscular strength as well as cardiovascular fitness. Web a fitness test, also known as a fitness assessment, comprises a series of exercises that help evaluate your overall health and physical status. Web fitness questions for your custom printable tests and worksheets. Web here are some. Fitness Test Questions.
From studylibnl.com
Physical Activity Readiness Questionnaire (PARQ) Fitness Test Questions Web here is the complete listing of all fitness tests in the topend sports database, listed in alphabetical order with also the top 10 most. Web a basic fitness test includes exercises designed to test muscular strength as well as cardiovascular fitness. Web here are some fitness tests for evaluating overall progress toward physical fitness and health goals for certain. Fitness Test Questions.
From brainly.ph
physical fitness test score card with answer Brainly.ph Fitness Test Questions Web fitness questions for your custom printable tests and worksheets. Web a basic fitness test includes exercises designed to test muscular strength as well as cardiovascular fitness. Web here are some fitness tests for evaluating overall progress toward physical fitness and health goals for certain healthy populations, especially. The exact exercises used to. Web here is the complete listing of. Fitness Test Questions.
From www.slideshare.net
15 fitness assessment Fitness Test Questions The exact exercises used to. Web here are some fitness tests for evaluating overall progress toward physical fitness and health goals for certain healthy populations, especially. Web fitness questions for your custom printable tests and worksheets. Web a fitness test, also known as a fitness assessment, comprises a series of exercises that help evaluate your overall health and physical status.. Fitness Test Questions.